| 일 | 월 | 화 | 수 | 목 | 금 | 토 |
|---|---|---|---|---|---|---|
| 1 | 2 | 3 | 4 | 5 | 6 | |
| 7 | 8 | 9 | 10 | 11 | 12 | 13 |
| 14 | 15 | 16 | 17 | 18 | 19 | 20 |
| 21 | 22 | 23 | 24 | 25 | 26 | 27 |
| 28 | 29 | 30 | 31 |
- two pointer
- Stored Procedure
- union find
- 스토어드 프로시저
- MYSQL
- 이진탐색
- Dijkstra
- DP
- String
- Two Points
- SQL
- Trie
- Hash
- 그래프
- binary search
- Brute Force
- 다익스트라
- Today
- Total
codingfarm
부분공간 본문
부분공간(subspace)
$\mathbb R^n$의 부분공간(subspace)은 다음을 만족하는 $\mathbb R^n$안의 벡터의 모임 $S$이다.
1. 영벡터 $0$은 $S$에 속한다.
2. $u$와 $v$가 $S$에 속하면 $u+v$도 $S$에 속한다. 즉, $S$는 덧셈에 대해 닫혀있다.
3. $u$가 $S$에 속하고 $c$가 스칼라 이면, $cu$도 $S$에 속한다. 즉, $S$는 스칼라배에 대해 닫혀있다.
$\therefore$ $u$와 $v$가 $S$에 속하면 $c_1u+c_2v$도 $S$에 속한다. 즉, $S$는 일차결합에 대해 닫혀있다.
즉. 공집합이 아닌 $\mathbb R^n$상의 벡터들의 집합이 스칼라곱과 덧셈에 대해 닫혀있다면 이를 $\mathbb R^n$상의 부분공간이라 한다.
$S$가 $\mathbb R^n$의 부분공간이 되는지 확인하려면 1~3이 성립하는지 확인한다.
성질 2,3을 통해 $u$와 $v$의 일차결합이 $\mathbb R^n$의 부분공간이 됨을 알 수 있다.
즉, $u_1,u_2 \cdots u_k$가 $S$에 속하고 $c_1,c_2 \cdots c_k$가 스칼라이면 $c_1u_1 + c_2u_2+\cdots c_ku_k$ 도 $S$에 속한다.
기하학적으로 성질 1~3은 명백하다.
$\mathbb R^3$에서 원점을 지나는 직선과 평면은 $\mathbb R^3$의 부분공간이다.
원점을 지나는 평면에 대한 대수적인증명
$\mathscr P$를 방향벡터로 $v_1,v_2$를 갖고 원점을 지나는 평면이라 하면,
$\mathscr P=span(v_1,v_2)$ 이다.
또한 $0=0v_1+0v_2$이므로 영벡터$0$은 $\mathscr P$에 속한다.
그리고
$u=c_1v_1+c_2v_2,\;\;\;w=d_1v_1+d_2v_2$
가 $\mathscr P$에 속하는 임의의 두벡터이면
$$u+w=(c_1v_1+c_2v_2)+(d_1v_1+d_2v_2)=(c_1+d_1)v_1+(c_2+d_2)v_2$$
이므로
$u+w$는 $v_1$과 $v_2$의 일차결합이다. 따라서
$u+w$는 $\mathscr P$에 속하는 벡터이다.
$\therefore$ $\mathscr P$는 성질 1~3을 만족하므로 $\mathbb R^3$의 부분공간이다.
즉, 부분공간은 $\mathbb R^3$에서 원점을 지나는 평면, $\mathbb R^n$에서 원점을 지나는 초평면이라는 직관적인 사고로 바라 볼 수 있다.
위 증명방법은 $\mathbb R^3$이외의 상황에도 일반화 될 수 있다.
$v_1,v_2,\cdots,v_k$가 $\mathbb R^n$의 벡터이면 $span(v_1,v_2,\cdots,v_k)$는 $\mathbb R^n$의 부분공간이다.
증명
$S=span(v_1,v_2,\cdots,v_k)$라 한다.
$S$가 앞선 부분공간이 되기위한 세가지 조건을 만족하는지 살펴본다.
1. $0=0v_1+0v_2+\cdots+0v_k$이므로 영벡터$0$은 $S$의 원소이다,
2. $u=c_1v_1+c_2v_2+\cdots+c_kv_k,\;\;\;\; w=d_1v_1+d_2v_2+\cdots+d_kv_k$ 가 $S$에 속하는 두 벡터이면
$\begin{align*}
u+w &= (c_1v_1+c_2v_2+\cdots c_kv_k)+(d_1v_1+d_2v_2+\cdots d_kv_k)\\
&=(c_1+d_1)v_1+(c_2+d_2)v_2+\cdots(c_k+d_k)v_k
\end{align*}$
이므로, $u+w$는 $v_1,v_2\cdots v_k$의 일차결합이고 $S$의 원소이다.
3. $c$를 임의의 스칼라 라고 두면
$\begin{align*}
cu&=c(c_1v_1+c_2v_2+\cdots c_kv_k)\\
&=(cc_1)v_1+(cc_2)v_2+\cdots +(cc_k)v_k
\end{align*}$
$cu$는 $v_1,v_2,\cdots,v_k$의 일차결합이고 $S$의 원소이다.
그러므로 $S$는 성질 1~3을 만족하므로 $\mathbb R^n$의 원소이다.
$\blacksquare$
벡터 $u$가 벡터 $v_1,v_2,\cdots,v_k$의 부분공간의 원소가 되기 위해선 $v_1,v_2,\cdots,v_k$의 일차결합으로 $u$를 만들 수 있어야 한다.
즉, 벡터 $v_1,v_2,\cdots,v_k$를 열벡터로 가지는 행렬 $A$에 대해 첨가계수행렬 $[A|u]$가 해를 가져야 한다.
행렬과 관련된 부분공간
$A$가 $m \times n$ 행렬이라 하자
1. $A$의 행공간(row space)는 $A$의 행에 의해 생성된 $\mathbb R^n$의 부분공간 $row(A)$이다.
2. $A$의 열공간(col space)는 $A$의 열에 의해 생성된 $\mathbb R^m$의 부분공간 $col(A)$이다.
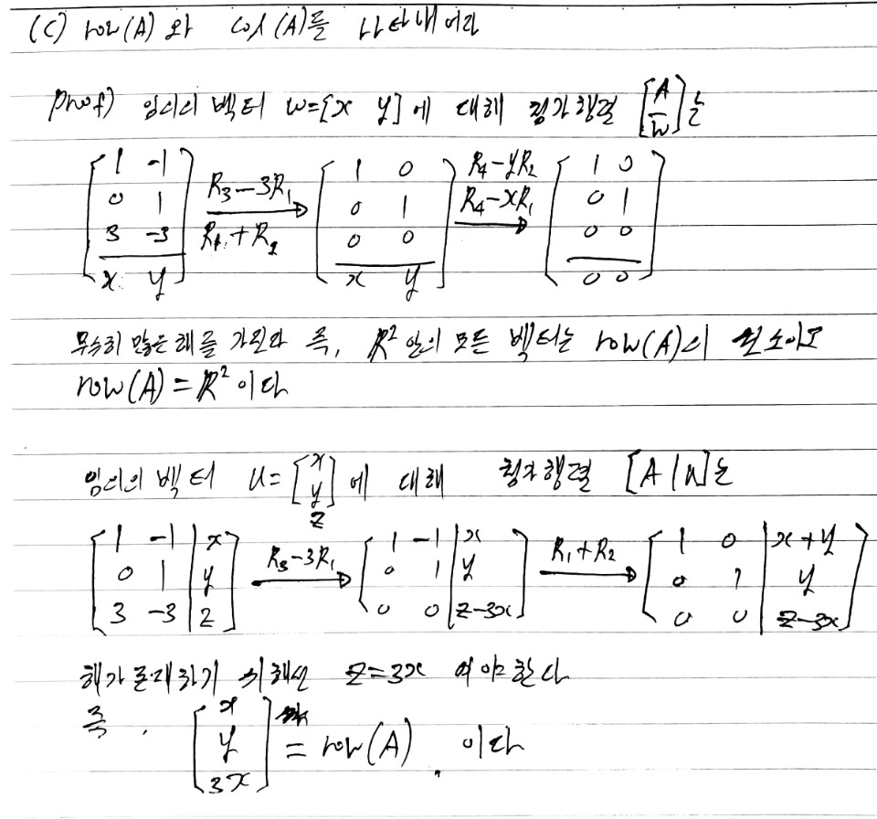
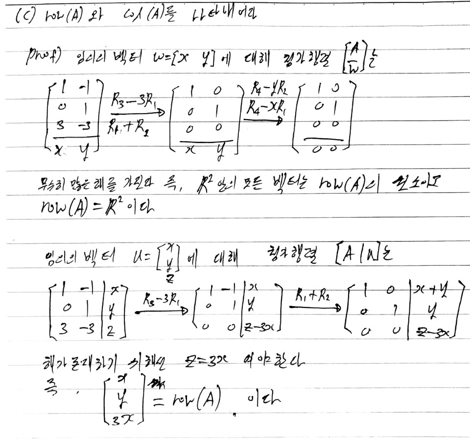
가령 행렬 $A=\begin{bmatrix} 1 &-1\\ 0 & 1\\ 3 & -3 \end{bmatrix}$이 주어질때
$A$의 행공간은 $span([1,-1],[0,1],[3,-3])$
$A$의 열공간은 $span \left(\begin{bmatrix} 1 \\ 0 \\ 3 \end{bmatrix},\begin{bmatrix} -1 \\ 1 \\ -3 \end{bmatrix} \right)$
참고
$A$의 행에 관한 어떤 의문은 $A^T$의 열에 관한 의문과 대응된다.
가령 $w$가 $row(A)$의 원소이기 위한 필요충분조건은 $w^T$가 $col(A^T)$의 원소인것이다.
$B$가 행렬 $A$와 행동치인 임의의 행렬이면, $row(B)=row(A)$이다.
증명
$A$를 행변환 하면 $B$가 나온다. 즉 $B$의 행은 $A$의 일차결합이다. 그리고 $B$의 행의 일차결합은 $A$의 행의 일차결합이다. 따라서
$row(B) \subseteq row(A)$ 이고 $row(A) \subseteq row(B)$이다.
그러므로
$row(A)=row(B)$ 이다.
$A$가 $m \times n$행렬이고 $N$이 동차연립일차방정식 $Ax=0$의 해집합이면 $N$은 $\mathbb R^n$의 부분공간이다. 즉 해로 구성된 $\mathbb R^n$의 부분공간을 $A$의 영공간(null space)라 하고 $null(A)$라 표시한다.
동차 연립 일차방정식의 경우 해는 하나의 자명해를 가지거나 무수히 많은 비자명해를 가진다. 비자명해를 $\mathbb R^n$의 부분공간으로 표현할 수 있다.
증명
$Ax=0$에서 $x$를 구한다는것은 $n$개의 미지수를 가진 $m$차 연립방정식의 해를 구하는것이다.
$N$이 $\mathbb R^n$의 부분공간이 되는지 검증해보자.
1. $Ax$가 정의되었을 경우 $0=0_m$이 $\mathbb R^m$의 영벡터가 되기위해 $x$는 $\mathbb R^n$에서 열벡터가 되어야 한다. $A0_n=0_m$ 이므로 $0_n$은 $N$의 원소이다.
2. $u,v$가 $N$의 임의의 원소이면 $Au=0,\;\;Av=0$이다. 따라서
$$A(u+v)=Au+Av=0+0$$
그러므로 $u+v$는 $N$의 원소이다.
3. 임의의 스칼라 $c$에 대해
$$A(cu)=c(Au)=c0=0$$
그러므로 $cu$는 $N$의 원소이다.
위 3가지 조건이 만족되므로 $N$은 $\mathbb R^n$의 부분공간이다.
'수학 > 선형대수학' 카테고리의 다른 글
| 기저와 차원, 계수(basis & dimension, rank) (0) | 2020.05.09 |
|---|---|
| 연립일차방정식의 해 (0) | 2020.05.07 |
| LU 분해(LU factorization) (2) | 2020.04.15 |
| 역행렬(Inverse Matrix) (0) | 2020.04.01 |
| 행렬 대수 (0) | 2020.04.01 |





