| 일 | 월 | 화 | 수 | 목 | 금 | 토 |
|---|---|---|---|---|---|---|
| 1 | 2 | 3 | ||||
| 4 | 5 | 6 | 7 | 8 | 9 | 10 |
| 11 | 12 | 13 | 14 | 15 | 16 | 17 |
| 18 | 19 | 20 | 21 | 22 | 23 | 24 |
| 25 | 26 | 27 | 28 | 29 | 30 | 31 |
- String
- MYSQL
- Brute Force
- two pointer
- binary search
- Hash
- 스토어드 프로시저
- Two Points
- 그래프
- Trie
- Dijkstra
- DP
- Stored Procedure
- 다익스트라
- SQL
- 이진탐색
- union find
- Today
- Total
codingfarm
고유값과 고유벡터(Eigenvalues and Eigenvectors) 본문
$A$를 $n \times n$ 행렬이라 하고 $\lambda$가 스칼라일때
$AX = \lambda X$
위 식이 주어젔을 경우
$\lambda$를 $A$의 고윳값(eigenvalue)라 하고 $X$는 고윳값에 대응하는 고유벡터(eigenvector)라 한다.
그리고 영벡터와 함게 $\lambda$에 대응하는 모든 고유벡터의 집합을 $\lambda$의 고유공간(eigenspace)라 하고 $E_\lambda$로 적는다.
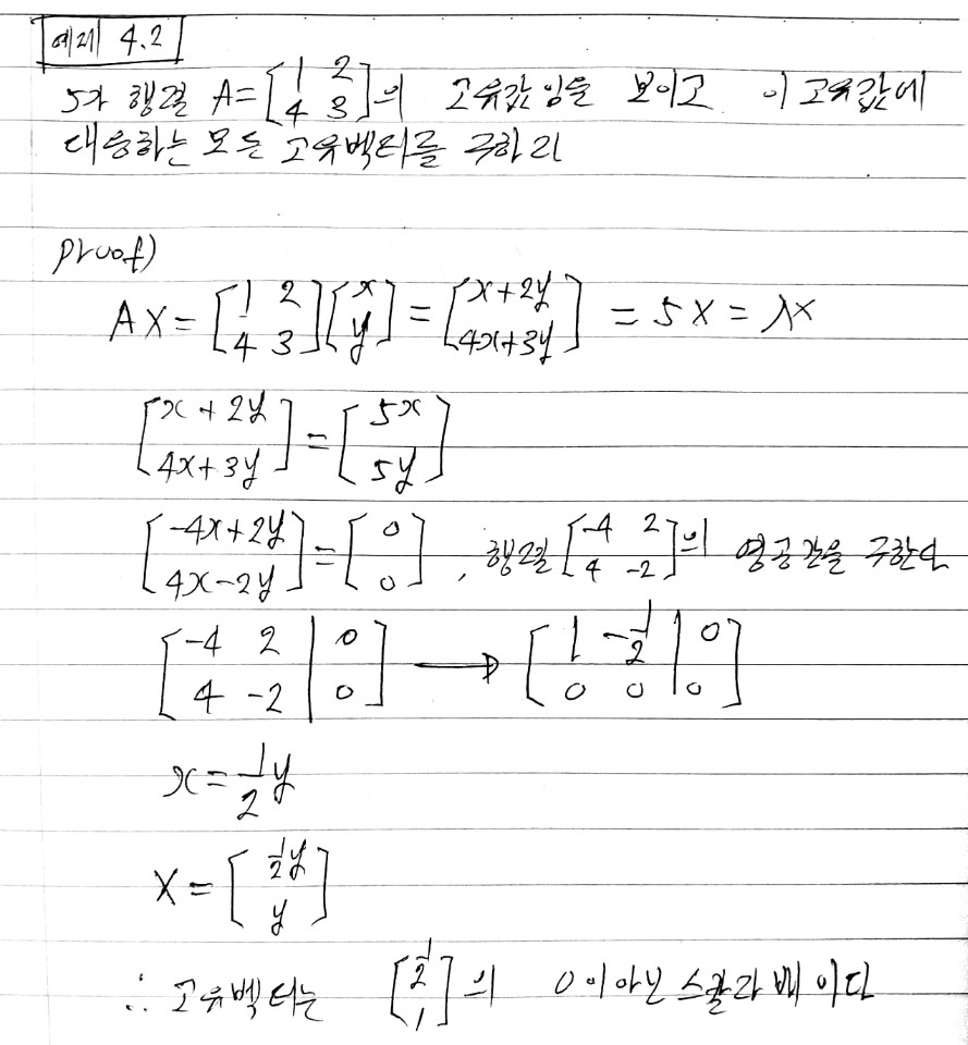
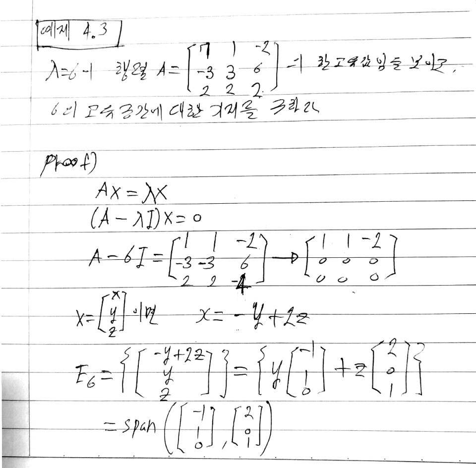
$A$가 $n \times n$ 행렬이고 $\lambda$가 스칼라일때 $AX = \lambda X$를 만족하는 $0$이 아닌 벡터 $X$가 존재하면, $\lambda$를 행렬 $A$의 고윳값(eigenvalue)라 한다.
이때, 벡터 $X$는 고윳값 $\lambda$에 대응하는 고유벡터(eigenvector)라 한다.
예를들어
$$\begin{bmatrix} 0.7 & 0.2 \\ 0.3 & 0.8 \end{bmatrix}
\begin{bmatrix} 0.4 \\ 0.6 \end{bmatrix}
=
\begin{bmatrix} 0.4 \\ 0.6 \end{bmatrix}$$
$\begin{bmatrix} 0.7 & 0.2 \\ 0.3 & 0.8 \end{bmatrix}$ 의 eigenvalue는 $1$이다.
$\begin{bmatrix} 0.4 \\ 0.6 \end{bmatrix}$는 $1$에 대응하는 eigenvector이다.
$$\begin{bmatrix} 0 & 4 & 3 \\ 0.5 & 0 & 0 \\ 0 & 0.5 & 0 \end{bmatrix}
\begin{bmatrix} 18 \\ 6 \\ 1 \end{bmatrix}
=
1.5\begin{bmatrix} 18 \\ 6 \\ 1 \end{bmatrix}$$
$\begin{bmatrix} 0 & 4 & 3 \\ 0.5 & 0 & 0 \\ 0 & 0.5 & 0 \end{bmatrix}$의 eigenvalue는 $1.5$이다.
$\begin{bmatrix} 18 \\ 6 \\ 1 \end{bmatrix}$은 $1.5$에 대응하는 고유벡터이다.
$\mathbb R^2$에서 eigenvector 개념의 기하학적의미에 대해 알아보자.
$AX = \lambda X$는 벡터 $AX$와 $X$가 평행한 벡터임을 말한다.
따라서 $X$가 $A$의 eigenvector라는것과 $A$가 $X$를 평행인 벡터로 변환하는 것은 필요충분조건이다.
또한 $A$에 대응하는 행렬변환 $T_A$에 대해 $T_A(X)$는 $x$와 평행하다는것과 동치이다.
eigenvector를 기하학적으로 생각하는 또다른 방법은 $X$의 머리와 $AX$의 꼬리를 잇는 형태로 그리는 것이다.
이때 $X$가 $A$의 고유벡터라는 것과 $X$와 $AX$가 하나의 직선에 위치한다는것은 동치이다.

위 그림에서 $X$는 $A$의 eigenvector이지만 $y$는 고유벡터가 아니다.

그림 4.7(a)는 예제 4.1의 행렬 $A = \begin{bmatrix} 3 & 1 \\ 1 & 3 \end{bmatrix}$ 로 변환했을때를 보여준다.
문제 풀이 결과 $X = \begin{bmatrix} 1 \\ 1 \end{bmatrix}$ 이 eigenvector가 됨을 알 고 있으며 그에 따라 $X = \begin{bmatrix} 1/\sqrt 2 \\ 1/\sqrt 2 \end{bmatrix}$이 고유벡터가 될 수 있음을 그림을 통해 유추 가능하다.
그림 4.7 (b)에서는 행렬 $A = \begin{bmatrix} 1 & 1 \\ -1 & 1 \end{bmatrix}$ 에 대하여 그 결과를 볼 수 있는데 보는것처럼 eigenvector가 하나도 없다.
주어진 행렬의 eigenvalue을 찾는법
$\lambda$가 $A$의 eigenvalue이라는 것과 $A - \lambda I$의 영공간이 자명하지 않다는 것은 동치이다.
즉
$$(A - \lambda I)X = 0$$
위 식을 만족하는 $X \neq 0$인 solution이 존재한다.
그러기 위해선 $A - \lambda I$는 비가역적이어야 하므로
$\det (A - \lambda I) = 0$ 이어야 한다.
즉, $\lambda$가 $A$의 eigenvalue라는것은 $\det (A - \lambda I) = 0$ 이어야 한다는 것과 동치이다.
참고로 가역행렬의 기본정리에 의하면
1) 가역행렬이 아니라는것
2) 행렬이 자명하지 않은 영공간을 가지는것
3) 행렬식이 0이라는것
세가지는 동치이다.
주어진 행렬의 eigenvector를 찾는법
$$(A - \lambda I)X=0$$
$A-\lambda I$에 대한 영공간을 구한다.
'수학 > 선형대수학' 카테고리의 다른 글
| 선형변환의 소개 (0) | 2020.06.18 |
|---|---|
| 좌표(coordinate) (0) | 2020.06.13 |
| 행 사다리꼴 행렬과 기약 행 사다리꼴 행렬 (1) | 2020.05.28 |
| 기저와 차원, 계수(basis & dimension, rank) (0) | 2020.05.09 |
| 연립일차방정식의 해 (0) | 2020.05.07 |







